Módulo TCU Euro V

Código: 5026/19

Mensagem do piloto automático



Legenda

  1. Conector de diagnósticos (OBD)
  2. Conector E-rack A
  3. Resistor da rede CAN somente para veículos com motorização Cummins
  4. PTM (onde está localizado resistor de 120 Ω no pinos 18 e 6 do conector B)
  5. Cluster X1(onde está localizado resistor de 120 ? nos pinos 14 e 15 do conector X1)
  6. Volkslog
  7. Unidade Lógica (LU)
  8. Unidade dosadora (arla 32)
  9. ECM
  10. TCU (Transmission Control Unit)
  11. ABS
  12. VTTS
  13. Sensor Nox
  14. Circuito apenas para motores Cummins
  15. Ponto de massa localizado dentro do E-Rack
  16. Potencial positivo
  17. Ponto de massa localizado na coluna A lado direito
  18. Relê de bloqueio
  19. Ponto de massa localizado na parte frontal do chassi



Descrição da Falha

Mensagem do piloto automático, valor inválido.



Indicação de Falha

Não há indicação específica para este código.



Estratégia de Monitoramento

O módulo TCU (Transmission Control Unit) monitora na mensagem a validade do valor do piloto automático.



Efeito da Falha

Uma luz indicativa de Controle de RPM acenderá no painel para alertar que o piloto automático ainda pode estar ativado.

A troca de marchas somente será possível de forma limitada.

As válvulas solenoides do GV estarão desativadas e sem possibilidade de mudança no GV.



Possíveis Falhas

FMI 9: Tempo esgotado.

FMI 19: Valor inválido.



Aviso

Leia sempre as Recomendações para Diagnósticos.

Após identificação da falha elétrica, é ativada uma função auxiliar, que somente será resetada com a eliminação da falha.

Verificar a versão do software do módulo TCU (Transmission Control Unit).




Registros de Falhas em Outros Módulos de Comando

----



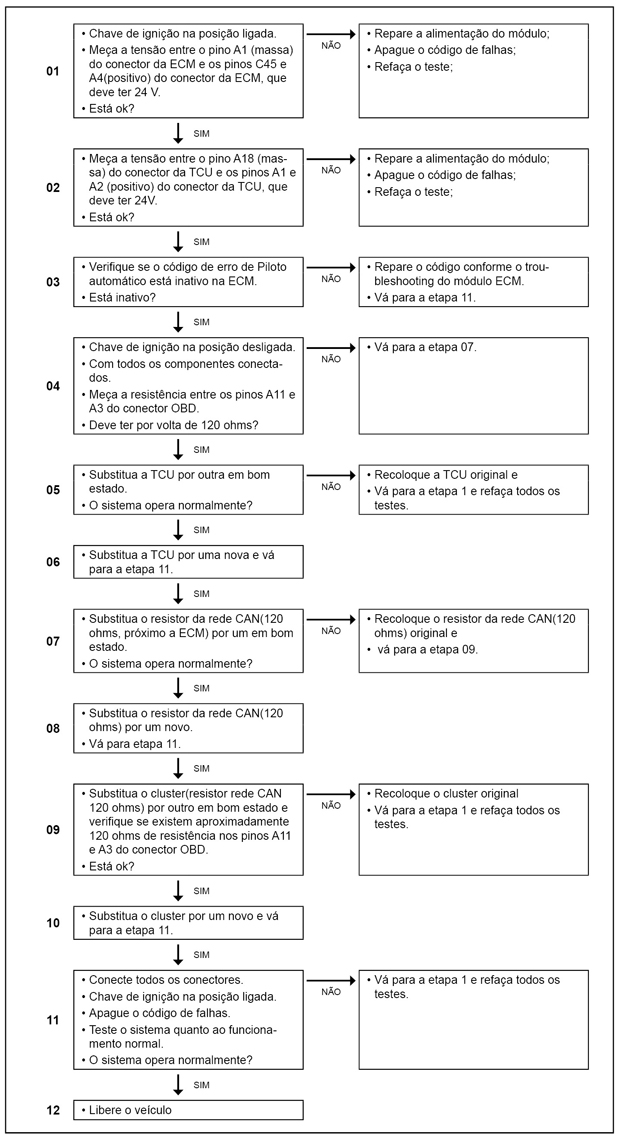
Passos do Diagnóstico de Falhas




Topo da Página