
Legenda
- Compressor do Ar-condicionado
- Ponto de massa localizado no chassi
- Interface M
- Unidade Lógica (LU)
Descrição da Falha
Circuito da saída do compressor do ar condicionado, interrompido.
Indicação de Falha
Não haverá indicação específica para este código.
Estratégia de Monitoramento
A
Unidade Lógica (LU) monitora o circuito da saída do compressor do ar
condicionado quanto à interrupção e curto para o massa.
Efeito da Falha
O ar condicionado do veículo não funcionará.
Possíveis Falhas
FMI 5: Circuito interrompido
FMI 6: Curto circuito para o massa.
- Verificar conexões quanto a oxidação decorrente de umidade.
- Verificar chicote elétrico quanto a cabos partidos.
Avisos
 Leia sempre as Recomendações para Diagnósticos.
Registro de Falhas em
Outros Módulos de Comando
----
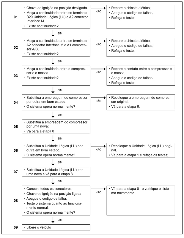
Passos do Diagnóstico de Falhas
Considerar os esquemas elétricos do veículo

|