
Legenda
- Luz indicadora de direção lateral lado esquerdo
- Ponto de massa localizado na frontal do chassi
- Unidade Lógica (LU)
Descrição da Falha
Circuito da luz indicadora de direção lateral esquerda, curto para o massa.
Indicação de Falha
A frequência de
piscadas é dobrada quando os piscadores são ligados, bem como o som de
"click" e os sinais de direção no painel de instrumentos.
Estratégia de Monitoramento
A Unidade Lógica (LU) monitora o circuito da luz indicadora de direção esquerda quanto à curto para o massa e interrupção.
Efeito da Falha
A frequência de piscadas do sistema de luzes direcionais será dobrado.
Possíveis Falhas
FMI 5: Interrupção no circuito.
FMI 6: Curto circuito para o massa.
- Verificar visualmente o soquete da luz indicadora de direção lateral esquerda.
- Analisar o filamento da lâmpada e medir a continuidade entre os dois pólos da luz indicadora de direção lateral esquerda.
- Verificar chicote elétrico quanto a cabos partidos e conexões.
Avisos
 Leia sempre as Recomendações para Diagnósticos.
Registro de
Falhas em Outros Módulos de Comando
----
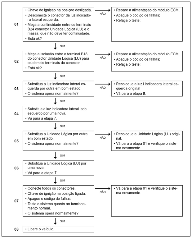
Passos do Diagnóstico de Falhas
Considerar os esquemas elétricos do veículo

|